La curiosidad de Michel Ardan por conocer los entresijos de los cálculos de la velocidad inicial del proyectil llevan a Barbicane y Nicholl a rehacer los cálculos con fines didácticos. El pobre Ardan queda desbordado por las explicaciones y sus dos amigos se llevan una desagradable sorpresa al ver los resultados de las operaciones matemáticas.

La noche transcurrió sin incidentes. A decir verdad no es correcto utilizar el término «noche».
La posición del proyectil no variaba con relación al Sol. Astronómicamente hablando, era de día en la parte inferior del proyectil y de noche en la parte superior. Quede por lo tanto claro que, cuando en este relato utilizamos esos dos términos, nos referimos al lapso de tiempo que transcurre entre la salida y la puesta de sol en la Tierra.
El sueño de los viajeros fue tanto más apacible, cuanto que, pese a su excesiva velocidad, daba la impresión de que el proyectil estaba absolutamente inmóvil. Ningún movimiento revelaba su trayectoria por el espacio. Y un desplazamiento, por rápido que sea, no puede producir ningún efecto sensible sobre el organismo si tiene lugar en el vacío o si la masa de aire circula al mismo tiempo que el cuerpo que en ella se desplaza. ¿Qué habitante de la Tierra percibe la velocidad de ésta, que sin embargo alcanza los noventa mil kilómetros por hora? En estas condiciones, el movimiento no se «siente» más que lo que se siente el reposo y ello sea cual sea el cuerpo. Si un cuerpo se encuentra en reposo, seguirá estándolo en tanto que alguna fuerza extraña no venga a desplazarlo. Y si está en movimiento, no se detendrá hasta que un obstáculo no venga a entorpecer su marcha. Esta indiferencia al movimiento o al reposo se denomina inercia.
Por lo tanto, Barbicane y sus compañeros podían creer que se hallaban en absoluta inmovilidad, ya que iban en el interior del proyectil, aunque el efecto hubiera sido el mismo de hallarse en el exterior del mismo. De no ser por la Luna, a la que cada vez veían más grande, hubieran jurado que estaban completamente estancados.
Aquella mañana, día 3 de diciembre, a los viajeros los despertó un ruido alegre, aunque inesperado. Era el canto del gallo, que retumbó en el interior del vagón.
Michel Ardan, que fue el primero que se levantó, trepó hasta la parte superior del proyectil y, cerrando una caja que se encontraba entreabierta, dijo en voz baja:
—¿Quieres callarte? ¡Este animal va hacer que fracase mi combinación!
Mientras tanto, Nicholl y Barbicane se habían despertado.
—¿Qué es eso? ¿Un gallo? —preguntó Nicholl.
—¡Qué va! —respondió rápidamente Michel—. ¡Era yo, que quería despertaros con esos ejercicios de vocalización tan campestre!
Y tras pronunciar estas palabras lanzó un kikirikí tan magnífico, que hubiera honrado a la más orgullosa de las gallináceas.
Los dos americanos no pudieron por menos de echarse a reír.
—Menudo talento —dijo Nicholl, mirando a su compañero con cierta incredulidad.
—Sí, son bromas de mi tierra —respondió Michel—. Los galos, ya se sabe. ¡Hace uno el gallo, hasta en la más alta sociedad!15
Luego cambió de conversación y dijo:
—Barbicane, ¿sabes en qué he estado pensando toda la noche?
—No —le respondió el presidente.
—En nuestros amigos de Cambridge. Ya habrás notado que soy un grandísimo ignorante en cuestiones matemáticas, de modo que no soy capaz de averiguar cómo se las arreglaron los sabios del observatorio para calcular la velocidad inicial que debería tener el proyectil al despegar del Columbiad, para poder llegar a la Luna.
—Querrás decir —replicó Barbicane—, para llegar al punto neutro en el que la atracción de la Tierra y la de la Luna se equilibran, ya que, a partir de ese punto, que se encuentra aproximadamente al cabo de haber recorrido nueve décimas partes del trayecto total, el proyectil caerá sobre la Luna por simple inercia, debido a su gravedad.
—De acuerdo —respondió Michel—. Pero con todo y con eso, ¿cómo pudieron calcular la velocidad inicial?
—Era facilísimo —respondió Barbicane.
—¿Tú hubieras sido capaz de calcularla? —le preguntó Michel Ardan.
—Ya lo creo. Nicholl y yo lo hubiéramos hecho, pero la nota del observatorio nos ahorró el trabajo.
—¡Pues a mí, amigo Barbicane, que me aspen si soy capaz de resolver semejante problema! —le respondió Michel.
—Porque no sabes álgebra —replicó tranquilamente Barbicane.
—¡Ahí está! ¡Menudos comeequis estáis hechos! ¡En cuanto pronunciáis la palabra álgebra ya no hay más que hablar!
—Michel —replicó Barbicane—, ¿tú crees que se puede forjar sin martillo o labrar la tierra sin arado?
—Difícilmente.
—Pues el álgebra es una herramienta como el arado o el martillo, y una buena herramienta para quien sabe utilizarla.
—¿Lo dices en serio?
—Completamente en serio.
—¿Y podrías hacerme una demostración de cómo se maneja esa herramienta?
—Si te interesa, ya lo creo.
—¿Y enseñarme cómo se ha calculado la velocidad inicial de nuestro vehículo?
—Sí, amigo mío. Teniendo en cuenta todos los elementos del problema, la distancia que hay entre el centro de la Tierra y el centro de la Luna, el radio de la Tierra, la masa de la Tierra, la masa de la Luna, puedo calcular con toda exactitud cuál tuvo que ser la velocidad inicial del proyectil, y ello gracias a una simple fórmula.
—¿Cuál es esa fórmula?
—Enseguida la verás. Sólo que no voy a darte la curva trazada realmente por el proyectil entre la Luna y la Tierra, teniendo en cuenta su movimiento de traslación alrededor del Sol. En vez de ello, daré por supuesto que los dos astros están inmóviles, pues de momento nos basta con eso.
—¿Por qué?
—Porque sería buscar la solución del problema que se conoce como «problema de los tres cuerpos», y el cálculo integral todavía no está suficientemente avanzando como para poderlo resolver.
—¡Anda! —exclamó Michel Ardan, con su habitual tono burlón—. ¡Ahora resulta que las matemáticas todavía no han dicho la última palabra!
—Desde luego que no.
—¡Bueno! ¡Pues lo mismo los selenitas van más adelantados que vosotros en eso del cálculo integral! Y a propósito, ¿qué es eso del cálculo integral?
—Es un cálculo que es lo contrario del cálculo diferencial —le respondió muy serio Barbicane.
—Pues me alegro mucho.
—Quiero decir, que es un cálculo según el cual se buscan cantidades finitas cuya diferencial conocemos.
—Por lo menos eso ya está clarísimo —respondió Michel con un aire la mar de satisfecho.
—Y ahora —prosiguió Barbicane—, voy a coger un papel y un lápiz y en menos de media hora te encuentro la fórmula que me has pedido.
Dicho esto, Barbicane se sumió en su tarea, en tanto que Nicholl observaba el espacio, dejando que su compañero preparase el desayuno.
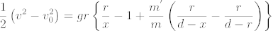
No había pasado media hora cuando Barbicane levantó la cabeza de los papeles y enseñó a Michel Ardan una página repleta de signos algebraicos, en medio de los cuales se destacaba la siguiente fórmula general:
![]()
—¿Y esto qué significa? —preguntó Michel.
—Significa —le respondió Nicholl— que la mitad de v al cuadrado menos v sub cero al cuadrado, es igual a gr multiplicado por r partido por x menos uno más m prima partido por m, multiplicado por r partido por d menos x, menos r partido por d menos r…
—x sobre y montada sobre z y cabalgando sobre p —exclamó Michel Ardan soltando una carcajada—. ¿Pero tú entiendes algo, capitán?
—Ya lo creo, está clarísimo.
—¡No me digas! —dijo Michel—. Está clarísimo, no faltaba más.
—¡Eres un guasón incorregible! —replicó Barbicane—. ¿No querías álgebra? Pues álgebra tendrás para hartarte.
—¡Prefiero que me ahorquen!
—Muy bien —respondió Nicholl, al tiempo que estudiaba la fórmula con aire de entendido—. Está bien planteada, Barbicane. Es la integral de la ecuación de las fuerzas vivas, y sin duda nos proporcionará él resultado que buscamos.
—¡Cuánto me gustaría poder entenderlo! —exclamó Michel—. ¡Diez años daría de la vida de Nicholl con tal de poder entenderlo!
—Pues entonces escucha —prosiguió Barbicane—. La mitad de u al cuadrado menos v sub cero al cuadrado, es la fórmula que nos da la semivariación de la fuerza viva.
—Ya. ¿Y Nicholl sabe lo que significa eso?
—Claro, Michel —respondió el capitán—. Todos esos signos, que a ti te parecen cabalísticos, componen sin embargo el lenguaje más claro, más concreto y más lógico para cualquiera que esté familiarizado con ellos.
—Y con esos jeroglíficos, más incomprensibles que los ibis16 egipcios, ¿pretendes descubrir, Nicholl, la velocidad inicial que tenía que tener nuestro proyectil? —preguntó Michel.
—Sin duda alguna —le respondió Nicholl—. Es más, mediante esta fórmula podré decirte cuál es su velocidad en cualquier punto de su recorrido.
—¿Palabra?
—Palabra.
—O sea, que eres tan listo como nuestro presidente.
—No es eso, Michel. Lo difícil es lo que ha hecho Barbicane, es decir, plantear una ecuación teniendo en cuenta todas las condiciones del problema. El resto no es más que cuestión aritmética, para lo cual no hay que saber más que las cuatro reglas.
—¡Ahí es nada! —respondió Michel Ardan, que en su vida había sido capaz de sacar una suma sin equivocarse y que definía esta regla como «pequeño rompecabezas chino que permite obtener totales infinitamente variados».
Sin embargo, Barbicane afirmaba que, puesto a ello, también Nicholl hubiera sido capaz de hallar la fórmula.
—Cualquiera sabe —decía Nicholl—. Cuanto más la estudio, más perfectamente planteada me parece.
—Y ahora escucha —le dijo Barbicane a su ignorante compañero—. Ya verás cómo cada letra tiene su significado.
—Ya escucho —dijo Michel con aire de resignación.
—d —dijo Barbicane— es la distancia desde el centro de la Tierra hasta el centro de la Luna, pues para calcular las respectivas atracciones hemos de partir de los centros.
—Hasta ahí comprendo.
—r es el radio de la Tierra.
—r, igual a radio. Vale.
—m es la masa de la Tierra y m prima, la masa de la Luna. Porque hay que tener en cuenta la masa de los dos cuerpos que ejercen su atracción, ya que la atracción es proporcional a las masas.
—Comprendido.
—g representa la gravedad, la velocidad que, al cabo de un segundo, tiene un cuerpo que caiga sobre la superficie de la Tierra. ¿Está claro?
—¡Como el agua! —respondió Michel.
—Y ahora, con x represento la distancia variable entre el proyectil y el centro de la Tierra, y con v, la velocidad del proyectil a esa distancia.
—Bueno.
—Por último, la expresión v sub cero, que aparece en la ecuación, es la velocidad que tenía el proyectil al salir de la atmósfera.
—Efectivamente —dijo Nicholl—, en ese punto es en el que hay que calcular la velocidad, puesto que ya sabemos que la velocidad en el momento de despegar era exactamente una vez y media más que la velocidad al salir de la atmósfera.
—¡Ya me he perdido! —dijo Michel.
—Pues es bien simple —dijo Barbicane.
—Yo sí que soy simple —replicó Michel.
—Quiere decir que, cuando nuestro proyectil llegó al límite de la atmósfera terrestre, ya había perdido un tercio de su velocidad inicial.
—¿Tanto?
—Sí, amigo mío; sólo por fricción contra las capas atmosféricas. Ya comprenderás que, cuanta más velocidad tenía, más resistencia encontraba en el aire.
—Eso lo admito —respondió Michel—, y hasta lo comprendo, aunque las uves con sub cero y al cuadrado me bailotean en la cabeza como clavos en un talego.
—Ese es el primer efecto del álgebra —prosiguió Barbicane—. Y ahora, para acabar de rematarte, vamos a calcular el valor numérico de estas expresiones, es decir, vamos a cifrar su valor.
—¡Bueno, pues rematadme de una vez! —respondió Michel.
—De estas expresiones —dijo Barbicane—, unas son conocidas y otras tenemos que calcularlas.
—De eso me ocupo yo —dijo Nicholl.
—Empecemos por r —continuó Barbicane—. r es el radio de la Tierra que, a la latitud de la Florida, punto de donde partimos, equivale a seis millones trescientos setenta mil metros, d, es decir, la distancia entre el centro de la Tierra y el centro de la Luna, equivale a cincuenta y seis radios terrestres, o sea…
Nicholl hizo rápidamente la multiplicación y dijo:
—O sea, trescientos cincuenta y seis millones setecientos veinte mil metros, en el momento en que la Luna está en su perigeo, es decir, cuando más cerca está de la Tierra.
—Bien —dijo Barbicane—. Y ahora m prima partido por m, es decir, la relación entre la masa de la Luna y la de la Tierra, que es uno partido por ochenta y uno.
—Perfecto —dijo Michel.
—g, la gravedad, es, en la Florida, igual a nueve metros, ochenta y uno. Por lo tanto, gr equivale a…
—Sesenta y dos millones, cuatrocientos veintiséis mil metros cuadrados —respondió Nicholl.
—Y ahora, ¿qué? —preguntó Michel Ardan.
—Pues ahora que cada expresión tiene un valor —le respondió Barbicane—, sólo me queda por calcular la velocidad v sub cero; es decir, la velocidad que tendría que tener el proyectil al salir de la atmósfera para alcanzar el punto de atracción equivalente a una velocidad nula. Como en ese momento la velocidad sería nula, digo que sería igual a cero, y que x, la distancia a la que se encuentra ese punto neutro, será representada por nueve décimas partes de d, es decir, la distancia que hay entre los dos centros.
—Tengo la vaga sensación de que tienes razón —dijo Michel.
—Entonces, vamos a ver: x igual a nueve décimas de d, y v igual a cero, la fórmula se convierte en…
Barbicane escribió rápidamente en el papel:
![]()
Nicholl lo leyó con ansiedad y exclamó:
—¡Justo! ¡Eso es!
—¿Está claro? —preguntó Barbicane.
—¡Escrito en letras de fuego! —respondió Nicholl.
—¡Pobrecillos! —murmuró Michel.
—¿Por fin lo has comprendido? —le preguntó Barbicane.
—¿Qué si lo he comprendido? —exclamó Michel Ardan—. ¡Vamos, pero si tengo la cabeza que me estalla!
—De modo que —prosiguió Barbicane—, v sub cero al cuadrado, igual a dos gr multiplicado por uno, menos diez r partido por nueve d, menos uno partido por ochenta y uno, multiplicado por diez r partido por d menos r partido por d menos r.
—Y ahora —dijo Nicholl—, para saber la velocidad del proyectil al salir de la atmósfera, no hay más que hacer esos cálculos.
El capitán, como experto avezado a todas las dificultades, se puso a hacer cálculos a velocidades de vértigo. Bajo sus dedos surgían divisiones y multiplicaciones y las cifras caían sobre el blanco del papel como si fueran granizo. Barbicane no apartaba los ojos de él y Michel Ardan se apretaba las sienes con ambas manos, ante una amenazante jaqueca.
—¿Qué hay? —preguntó Barbicane, tras unos minutos de silencio.
—Pues resulta que, después de haber hecho todos los cálculos —respondió Nicholl—, v sub cero, es decir, la velocidad del proyectil al salir de la atmósfera para llegar al punto de atracción igual, ha debido ser de…
—¿De…? —le interrumpió Barbicane.
—De once mil cincuenta y un metros durante el primer segundo.
—¿Cómo? —dijo Barbicane, pegando un respingo—. ¿Qué dice?
—Once mil cincuenta y un metros.
—¡Maldita sea! —exclamó el presidente con gesto de desesperación.
—¿Qué te pasa? —le preguntó Michel Ardan muy sorprendido.
—¿Que qué me pasa? Pero si en ese momento la velocidad se habría ya reducido, a causa de la fricción, a dos tercios de la inicial, que tendría que haber sido de…
—¡De dieciséis mil quinientos setenta y seis metros!
—¡Y el observatorio de Cambridge declaró que, para despegar, nos bastaban once mil metros, y fue a esa velocidad como salió el proyectil!
—¿Y ahora, qué? —preguntó Nicholl.
—Pues ahora resulta que no era suficiente.
—Ya.
—¡No llegaremos al punto neutro!
—¡Pardiez!
—¡Ni siquiera llegaremos a mitad del camino!
—¡Balas y rebalas! —gritó Michel Ardan, saltando como si el proyectil estuviera a punto de estrellarse contra el esferoide terrestre.
—¡Y volveremos a caer sobre la Tierra!
- 15 reads
